پیٹرولیم مصنوعات کی قیمتوں میں حالیہ اضافے کے بعد ملک کے مختلف شہروں کی طرح مانسہرہ میں بھی پبلک ٹرانسپورٹ کے کرایوں میں اضافہ کر دیا گیا ہے اور ٹرانسپورٹرز نے نیا کرایہ نامہ جاری کر دیا ہے۔ رپورٹس کے مطابق پیٹرول اور ڈیزل مہنگا ہونے کے بعد ٹرانسپورٹ کے کرایوں میں تقریباً 15 سے 25 فیصد تک اضافہ کیا گیا ہے تاکہ بڑھتے ہوئے ایندھن اور اخراجات کو پورا کیا جا سکے۔
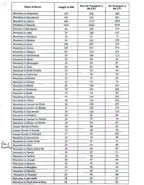
مانسہرہ: پبلک ٹرانسپورٹ کا نیا کرایہ نامہ (نمونہ)
مانسہرہ تا ایبٹ آباد: تقریباً +20 سے 40 روپے اضافہ
مانسہرہ تا اوگی: +20 سے 30 روپے اضافہ
مانسہرہ تا بالاکوٹ: +40 سے 60 روپے اضافہ
مانسہرہ تا شنکیاری / بفہ: +20 سے 30 روپے اضافہ
مانسہرہ تا اسلام آباد: +100 سے 200 روپے اضافہ
اضافے کی وجہ
ٹرانسپورٹرز کے مطابق:
پیٹرول اور ڈیزل کی قیمتوں میں بڑا اضافہ
گاڑیوں کے سپیئر پارٹس اور مینٹیننس کے اخراجات
مہنگائی اور آپریشنل لاگت میں اضافہ

اسی وجہ سے کئی شہروں میں بس، ویگن، ہائی ایس اور رکشہ کرایوں میں بھی اضافہ کیا گیا ہے۔
پیٹرولیم مصنوعات کی قیمتوں میں اضافے کے بعد مانسہرہ میں پبلک ٹرانسپورٹ کا نیا کرایہ نامہ جاری.
94